[ home / overboard ] [ soy / qa / raid / r ] [ ss / craft ] [ int / pol ] [ a / an / asp / biz / mtv / r9k / tech / v / sude / x ] [ q / news / chive / rules / pass / bans / status ] [ wiki / booru / irc ]

A banner for soyjak.party

/x/ - Paranormal/Schizo

Do not investigate.
Catalog
Email
Subject
Comment
File
Password (For file deletion.)

/x/ Curse with Countdown
THEY ARE WATCHING
Loading…

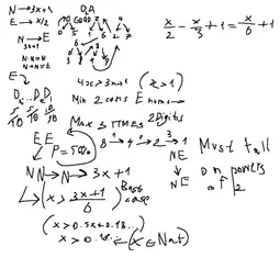
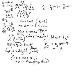
File: ClipboardImage.png πŸ“₯︎ (39.65 KB, 1024x1024) ImgOps

 β„–18137[Quote]

Am I onto something

 β„–18138[Quote]

>>18137 (OP)
Random equations; What for?

 β„–18140[Quote]

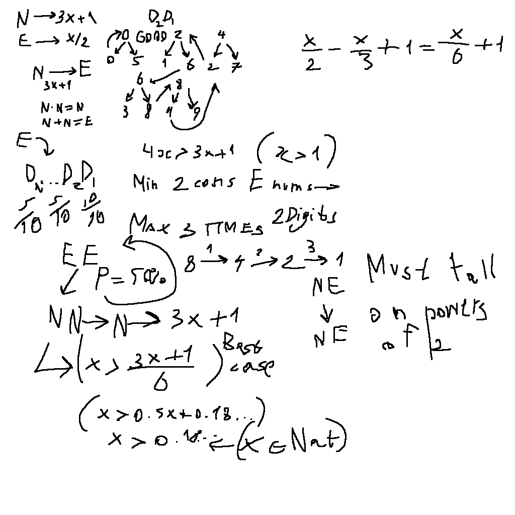
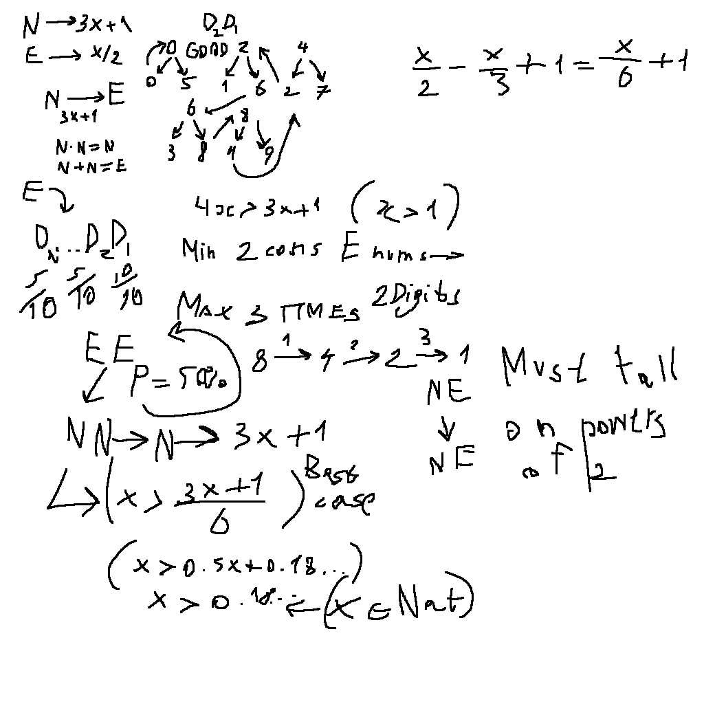
File: 1765313472364r.png πŸ“₯︎ (29.93 KB, 1024x1024) ImgOps

>>18138
I want to prove that Collatz conjecture will always return to zero no matter the number

 β„–18142[Quote]

Nope. Almost all of this is wrong.

 β„–18144[Quote]

File: ClipboardImage.png πŸ“₯︎ (78.83 KB, 1740x1740) ImgOps

I'm cooking bruh

 β„–18151[Quote]

Bro I onto something the jews are gonna hate this one

 β„–18153[Quote]

File: nod.gif πŸ“₯︎ (1.79 MB, 500x338) ImgOps

>>18151
can you collapse Chaitan's Omega and every delirious satanist that will ever try to compute it directly into eternal darkness?

 β„–18154[Quote]

What is this Diddyblud doing
Does he think he is Einstein?

 β„–18159[Quote]

>>18154
when in reality he is epstein



[Return][Catalog][Go to top][Post a Reply]
Delete Post [ ]
[ home / overboard ] [ soy / qa / raid / r ] [ ss / craft ] [ int / pol ] [ a / an / asp / biz / mtv / r9k / tech / v / sude / x ] [ q / news / chive / rules / pass / bans / status ] [ wiki / booru / irc ]