[ home / overboard ] [ soy / qa / raid / r ] [ craft ] [ int / pol ] [ a / an / asp / biz / mtv / r9k / tech / v / sude / x ] [ q / news / chive / rules / pass / bans / status ] [ wiki / booru / irc ]

A banner for soyjak.party

/tech/ - Soyence and Technology

Download more RAM for your Mac here
Catalog
Email
Subject
Comment
File
Password (For file deletion.)

File: ClipboardImage.png 📥︎ (237.02 KB, 1420x352) ImgOps

 â„–29358[Quote]

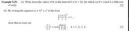
i heard the sharty is filled with high iq aryan level intellectuals, could you guys solve this ???????????

 â„–29359[Quote]

ask claude or something

 â„–29360[Quote]

Actual snca holy shit nobody cares about maths

 â„–29362[Quote]

>Actual snca holy shit nobody cares about maths
fuck you

 â„–29365[Quote]

File: 1024px-Root_43_President.….webp 📥︎ (76.79 KB, 1024x1394) ImgOps

EMBEDDED ROOT
>

 â„–29366[Quote]

>>29358 (OP)
maybr back when i took complex analysis. forgot everything now cause snca

 â„–29375[Quote]

>>29358 (OP)
i dont know how to count

 â„–29468[Quote]

geg im studying this atm

 â„–29481[Quote]

nigga use de moivre's formula and the formula for the roots of unity
do you even read your notes or not nigger

 â„–29537[Quote]

>>29358 (OP)
Mathchan captcha aah question

 â„–29538[Quote]

>>29537
It died in 2024 or early 2025 btw ;_;

 â„–29569[Quote]

hi just visiting not an aryan intellectual

a is 0, 2pi/5, 4pi/5, 6pi/5, 8pi/5
cos theta + i sin theta is r=1, angle=theta in polar coordinates: the point on the unit circle with angle theta (bc cos^2 t + sin^2 t = 1)
Complex multiplication adds the angles and multiplies the radii, so the fifth roots of 1 are 1/5 around the unit circle, 2/5 around the unit circle, etc. When you take the fifth power they end up 0 around the unit circle

Now I'm not sure how you get b algebraically (update post if you find out), but I did it kind of geometrically?

We know (z+1)/z needs to have radius 1 and angle 2kpi/5 because those are the solutions to the fifth root of 1. Because it has radius 1, z+1 needs to have the same radius as z. Since their imaginary parts (y coordinates) are the same, they need to have opposite real parts: Re(z + 1) = - Re(z). We're flipping z around the y axis. Thus Re(z)=-1/2 and Re(z+1)=1/2.

Because the angle of (z+1)/z must be 2kpi/5, the difference in their angles must be 2kpi/5. However, we already discussed how adding 1 to z flips it around the y axis. This means <(z+1)=pi/2-(<(z)-pi/2)=pi-<(z). Thus <(z+1)-<(z) = pi-2<(z)= 2kpi/5, so <(z)=(5-2k)pi/10. Since Re(z) is negative, <(z) is strictly between pi/2 and 3pi/2, so it must be 7pi/10, 9pi/10, 11pi/10, 13pi/10.

This means that the valid solutions to z are the points of intersection of x=-1/2 and the lines through the origin at those angles, y/x=-2y=tan(<(z)). If we look at the triangles of those lines and the y axis instead, we can also describe them as y/x=cot(<(z)-pi), or y=Im(z)=-1/2 * cot(n*pi/10) where n is 2, 4, 6, or 8. Simplifying, this is -1/2 * cot(k*pi/5) where k is 1, 2, 3, or 4. Thus we have found the imaginary part and the answer is -1/2(1+ i cot(k*pi/5))

 â„–29571[Quote]

File: math.png 📥︎ (28.06 KB, 500x500) ImgOps

wait actually i think i messed something up
-x/y = tan(<(z)-pi/2) so cot(<(z)-pi/2)= y/-x
but that would make it -1/2(1-icot(k*pi/5))

 â„–29583[Quote]

>>29571
i will shove triangles up your ass :)



[Return][Catalog][Go to top][Post a Reply]
Delete Post [ ]
[ home / overboard ] [ soy / qa / raid / r ] [ craft ] [ int / pol ] [ a / an / asp / biz / mtv / r9k / tech / v / sude / x ] [ q / news / chive / rules / pass / bans / status ] [ wiki / booru / irc ]